Cellulose ist einer der Hauptbestandteile der Zellwand und die häufigste organische Verbindung überhaupt. Jedes Jahr werden ca. 100 Milliarden Tonnen Cellulose von den Pflanzen weltweit produziert.
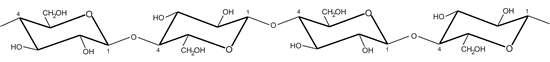
Cellulose gehört zu den Polysacchariden, große Moleküle, die aus einzelnen Zuckerbausteinen, den Monosacchariden, aufgebaut sind. Im Fall der Cellulose sind es ß-D-Gluscoseeinheiten, die miteinander verknüpft sind. Bis zu 15 000 solcher Glucosemoleküle sind miteinander zu einer langen unverzweigten Kette aneinandergereiht. Die Bindung zwischen zwei Glucosebausteinen nennt man ß-1,4-glycosidisch, da die C-Atome 1 und 4 miteinander verbunden sind.
Ausschnitt aus einer Cellulosekette: |
 |
Glucosemoleküle in Sesselform sind aneinandergekettet |
 |
3D-Struktur einer Cellulosekette |
 |
Kalottenmodell |
Die Celluloseketten sind miteinander zu Fibrillen zusammengefassst, die die sekundäre Zellwand durchziehen und ihr Stabilität verleihen.
Der Mensch kann keine Cellulose verdauen, dennoch ist sie ein wichtiger Ballaststoff, da sie auf dem Weg durch den Verdauungstrakt die Schleimhäute zu Schleimproduktion anregt, was wiederum wichtig für die Verdauung ist.
Cellulose wird auch in der pharmazeutischen Industrie, um Tupfer und anderes Verbandsmaterial herzustellen.
|
Anwendung von Cellulose in der Pharmazie |
nach oben
|